Vendido
Lance inicial
R$ 250,00
Visitas
551
Último lance
R$ 5.800,00
Lances
9
Usuário último lance
(vi***ia)
Pregão encerrado!
Leilão realizado em
13/03/2019 14:00
Clique aqui e acesse a Listagem de Itens
TODOS OS ITENS SE ENCONTRAM NO ESTADO. NÃO SERÃO ACEITAS RECLAMAÇÕES POSTERIORES.
Local do lote
. Piracicaba, SP
| Nº do lance | Lance | Data | Arrematante |
|---|---|---|---|
| 9 | R$ 5.800,00 | 25/03/2019 17:28:45 | vi***ia |
| 8 | R$ 2.000,00 | 13/03/2019 14:26:45 | JE***2B |
| 7 | R$ 1.750,00 | 13/03/2019 14:26:39 | vi***ia |
| 6 | R$ 1.500,00 | 13/03/2019 14:24:47 | JE***2B |
| 5 | R$ 1.250,00 | 13/03/2019 14:24:37 | vi***ia |
| 4 | R$ 1.000,00 | 13/03/2019 14:23:13 | JE***2B |
| 3 | R$ 750,00 | 13/03/2019 12:06:21 | vi***ia |
| 2 | R$ 500,00 | 13/03/2019 10:08:53 | JE***2B |
| 1 | R$ 250,00 | 12/03/2019 15:41:51 | RI***65 |
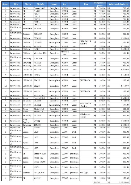
Leilão contendo: Colheitadeiras, plataformas de milho, arados, pulverizador, semeadora, carreta, conjuntos odontológico, impressoras diversas e multifuncionais.
Visitação: Favor realizar a visitação pelo ícone no site e entraremos em contato para agendamento.
Lotes 01 a 103: Astorga/ PR com exceção do lote 09 que se encontra em Dr. Camargo/ PR.
Lote 201: Piracicaba/ SP
Data: 13.03.2019 às 14:00
Local: Avenida Fagundes Filho, Vila Monte Alegre, 191, Ed. Houston - 4º Andar
São Paulo, SP - 04304-010
Guilherme O Rossi
- Leiloeiro Oficial - JUCESP - 947
Tel.: (11)99694-8420 ou (11)99694-8420